废话,我都得癌症了,还不赶紧治疗,立马要治啊。什么都不管,我要去医院,去最好的医院,我要开始治!
这么想的,对不?那你去治吧。。。别往下看了!祝你好运!
。
。
。
。
。
。
哎呦,你都看到这儿了?
那不铺垫了,咱步入正题,先跟你说,有点儿长,你确定你能耐心看完?
。
。
。
。
。
。
英国血液学会2023年发表的最新《套细胞淋巴瘤的诊断和管理》指南:

明确的给出建议:

第一点:考虑对未经治疗的无症状、低体积淋巴结病变MCL患者进行积极观察。看懂了吗你?
未经治疗的=还没开始治疗的,能懂吧。
无症状=没有B症状,就是没有发烧、没有盗汗、没有在刻意减肥下体重在6个月内减掉10%的。
低体积淋巴结病变=淋巴结不大,没有大包块(一般来说≥5cm属于大包块,如果你都<1.5cm,那就是非常低的体积)。
积极观察=暂时可以不用治疗!
第二点:表现为孤立性脾脏和骨髓/外周血受累的未经治疗的无症状 MCL 患者考虑积极观察。我猜你没看懂。我来解释一下:
孤立性脾脏和骨髓/外周血受累=仅有脾大和骨髓侵犯或外周血淋巴细胞计数变高。
未经治疗的=还没开始治疗。
无症状=没有B症状,就是没有发烧、没有盗汗、没有在刻意减肥下体重在6个月内减掉10%的。
积极观察=暂时可以不用治疗!
那这个结论到底是怎么形成的?我们深入进去看原文:

原来,英国的一项研究发现:
1. 在确诊了的套细胞淋巴瘤患者里面,有27.6%的患者,并没有马上治疗。
2. 这27.6%的患者里面,女性是多于男性的(女性40%,男性22%)。
3. 这27.6%的患者里面,75%在确诊1年后,依然继续观察,没有治疗。50%的患者,甚至在确诊2年后,还在观察,没有治疗。
然后,他们给了一个结论:
对于一些有淋巴结肿大的,以及非结节性的套细胞淋巴瘤患者,初始观察不治疗,
是安全的,
而且不但安全,
还可以获得非常好的结局。
那我们再来深挖,看看这结论到底哪儿来的?
我们找到这段话里面的参考文献:(Kumar A, Ying Z, Alperovich A, Dogan A, Hamlin P, Moskowitz C, et al. Clinical presentation determines the selection of patients for initial observation in mantle cell lymphoma. Haematologica. 2019;104(4):e163–6.)
原来,有一项404个套淋患者的研究,分成了两个组:
1. 观察组:90个患者,即确诊后不立刻治疗
2. 立刻治疗组:314个患者,即确诊后立刻治疗。

那我就好奇了,这90个患者,到底观察了多长时间呢?

1. 中位观察=23个月,也就意味着有一半的患者,观察了23个月。
2. 超过31%的患者,观察期>2年。

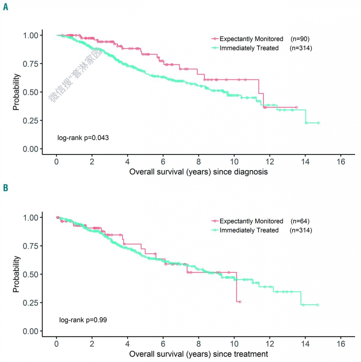
我们看图A:
竟然还有患者,观察了108个月,
那是多长时间?
9年啊,我滴个乖乖!
再看图B:
Ki67>30%的,也有观察超过2年的,天呐!
那最后,重点来了:

我们看到
1. 观察组的更好,因为中位的生存时间是11.4年,
2. 立刻治疗组的,中位生存,只有9.4年。
所以观察组的中位生存,比立刻治疗组的,足足多了2年!

那观察组的,有一些后续也开始治疗了,
那我们就比比,从开始治疗,到最后的结局(图B)
结论:
两个组,都从治疗开始,直到死亡。
1. 观察组和立刻治疗组,没有差异!
2. 这说明什么?说明了,只要治疗,从开始到最终死亡,都差不多的。
所以,我前面多观察了2年,我就是多活了两年!
还不信?
你看看前面,观察组是不是11.4年,立刻治疗组是不是9.4年,
多出的2年哪里来的?
还记得这个图?

观察组是不是中位观察了23个月啊,这23个月是不是就是2年啊!!!
这下明白了?
你,还要火急火燎的去治疗吗?
我们套淋家园里面,有个浙江杭州临安的杨叔,
他2017年确诊,一直不治疗,就观察
结果观察到了极限,一直到2023年9月,
才开始治疗,
足足观察了7年!
相当于,比别人多获得了7年生命!
参考文献:
1. Eyre TA, Bishton MJ, McCulloch R, O'Reilly M, Sanderson R, Menon G, Iyengar S, Lewis D, Lambert J, Linton KM, McKay P; Haemato-Oncology Task Force of the British Society for Haematology. Diagnosis and management of mantle cell lymphoma: A British Society for Haematology Guideline. Br J Haematol. 2023 Oct 25. doi: 10.1111/bjh.19131. Epub ahead of print. PMID: 37880821.
2. McCulloch R, Smith A, Wainman B, Ingram W, Lewis A, Hawkins M, et al. 40% of females with mantle cell lymphoma are managed with initial observation: results from the MCL biobank observational study. Blood. 2019;134(Suppl_1):2821.
3. Kumar A, Ying Z, Alperovich A, Dogan A, Hamlin P, Moskowitz C, et al. Clinical presentation determines the selection of patients for initial observation in mantle cell lymphoma. Haematologica. 2019;104(4):e163–6.
一般吧确诊即会恐慌,情绪冲击下多半是感觉症状更严重,一定会急着早一天治疗,只有回头看后悔了!做好充分的检测,制定好最适合自己的诊疗策略,一步一步从容应对,才是最好的应对。不要让病人的心理情绪影响决策,更不要一步错 步步错,先按5年一个周期规划怎么应对。包括人生的其他,套住了想早点解脱不可能,基本生存期按10年起步吧,只要不盲目治疗。